• Предмет: Алгебра
  • Автор: zhebelisdaniil
  • Вопрос задан 8 лет назад

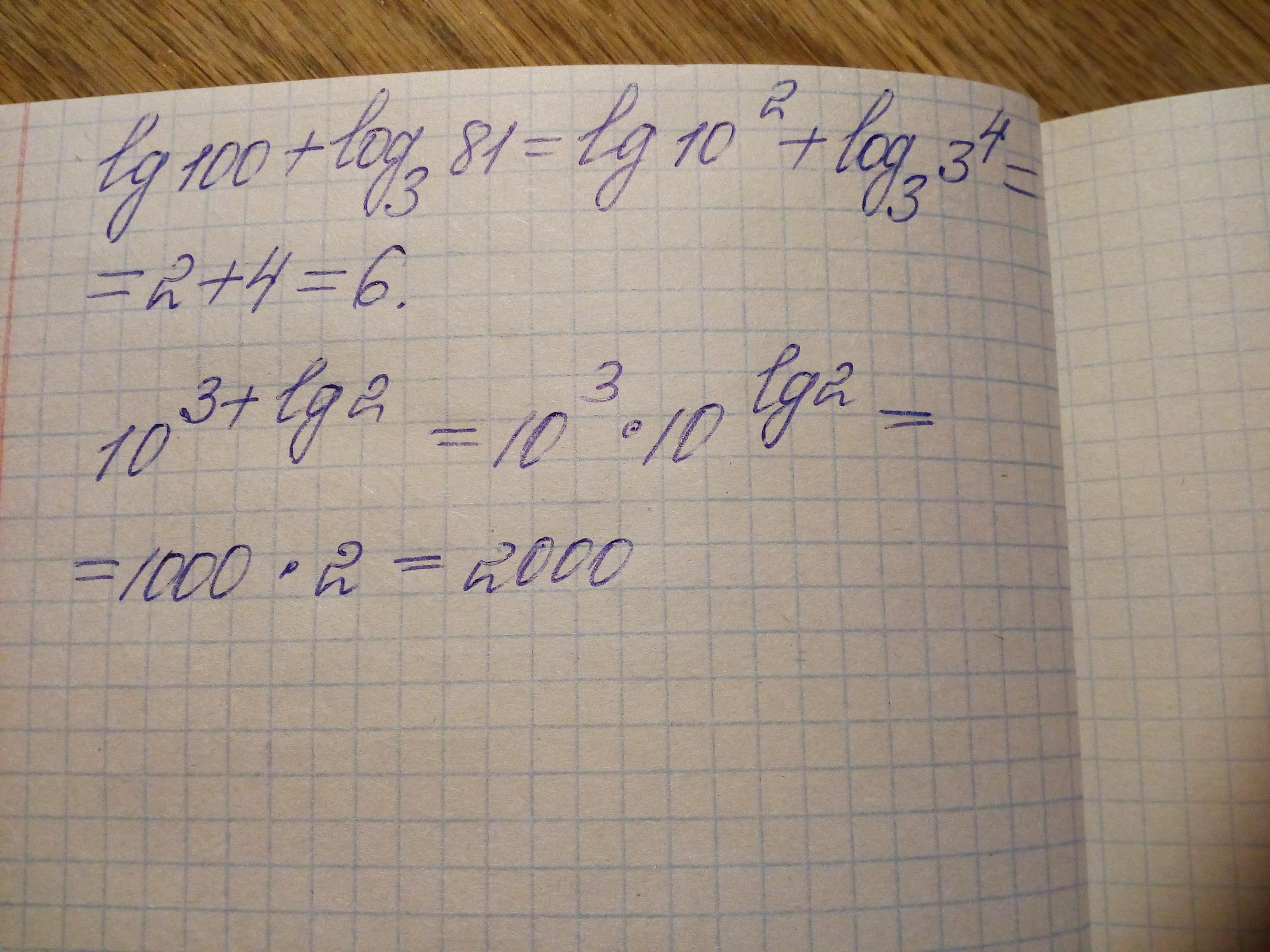
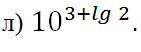
Помогите решить по математике

Приложения:

Ответы

Ответ дал: m11m
1

Ответ:

Объяснение:

!!!!!!!!!!!!!!!!!!!!!

Приложения:

zhebelisdaniil: спасибо
Вас заинтересует