Ответы
Ответ дал:
1
Ответ:
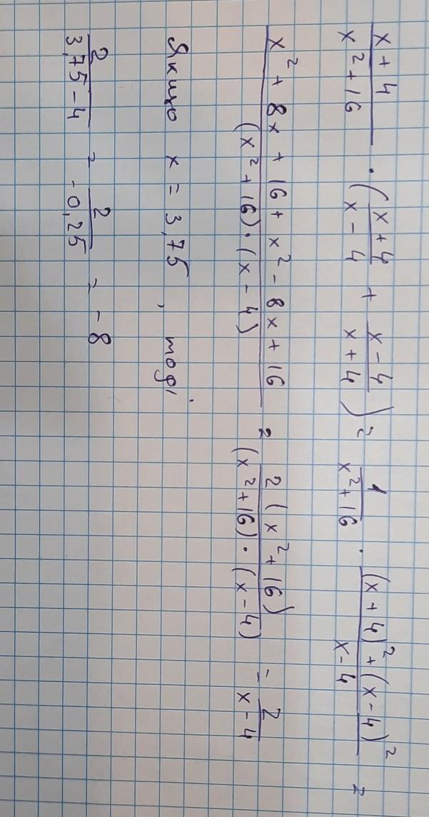
Прости, за почерк.
Если что-то не понятно спрашивай.
Приложения:

Аноним:
у меня почерк еще хуже
Вас заинтересует
2 года назад
2 года назад
3 года назад
3 года назад
8 лет назад
8 лет назад
9 лет назад