срочно даю 20
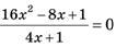
скільки тут коренів
Приложения:

Аноним:
хорошая задачка, а я лоханулся по началу - думал, что их 2. А там разрыв 1-го рода.
Ответы
Ответ дал:
1
Ответ:
1
Объяснение:
все таки 1
Приложения:

Вас заинтересует
2 года назад
2 года назад
3 года назад
8 лет назад
9 лет назад