Ответы
Ответ дал:
2
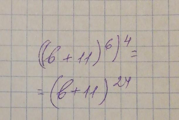
Ответ:
Смотри решение на фото..
Приложения:

alinagromova2020:
епр
Ответ дал:
2
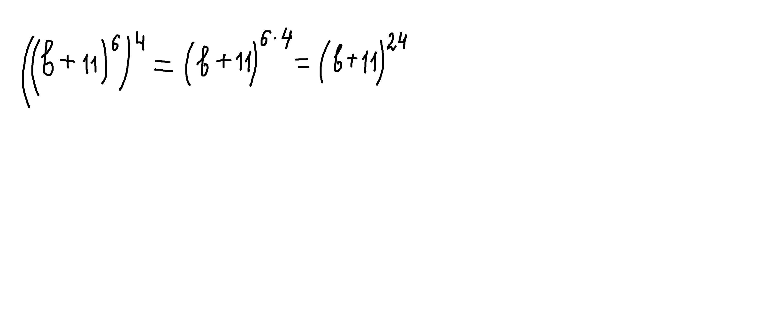
Ответ:
Объяснение:
решение внизу
Приложения:

Вас заинтересует
2 года назад
3 года назад
8 лет назад
9 лет назад