СРОЧНО!!!РЕШИТЕ ПОЖАЛУЙСТА ОЧЕНЬ НУЖНО!! ХОТЯ БЫ ОДИН НОМЕР (и нужно показать каждое действие)
Приложения:

Ответы
Ответ дал:
1
Ответ:
Пошаговое объяснение:
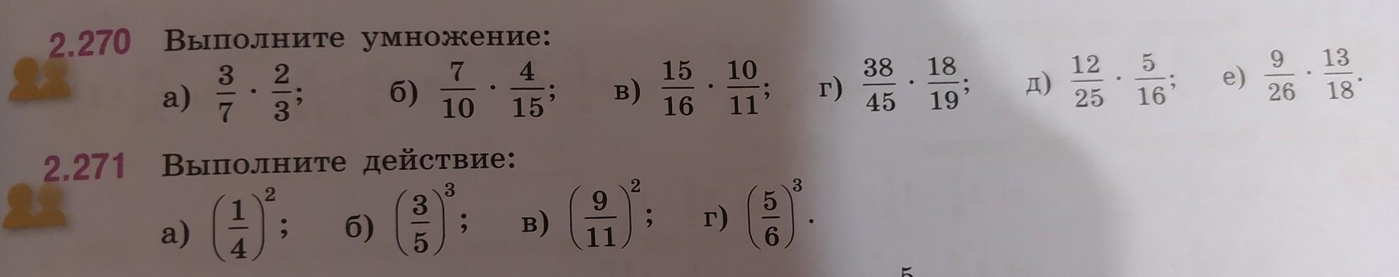
270
а) 3/7 * 2/3 = 6/21 = 2/7
б) 7/10 * 4/15 = 7/5 * 2/15 = 14/75
в) 15/16 * 10/11 = 15/8 * 5/11 = 75/88
г) 38/45 * 18/19 = 2/5 * 2/1 = 4/5
д) 12/25 * 5/16 = 3/5 * 1/4 = 3/20
е) 9/26 * 13/18 = 1/2 * 1/2 = 1/4
271.
а) (1/4)² = 1/4 * 1/4 = 1/16
б) (3/5)³ = 3/5 * 3/5 * 3/5 = 27/125
в) (9/11)² = 9/11 * 9/11 = 81/121
г) (5/6)³ = 5/6 * 5/6 * 5/6 = 125/216
Аноним:
Спасибо большое, очень помог/помогла.:>
Вас заинтересует
2 года назад
2 года назад
3 года назад
8 лет назад
8 лет назад
9 лет назад