Ответы
Ответ дал:
1
Ответ:
(14*2)/7 + 1,24*14 = 2*2 + 17,36 = 21,36
Объяснение:
Ну там дробь сокращается
Ответ дал:
0
Ответ:
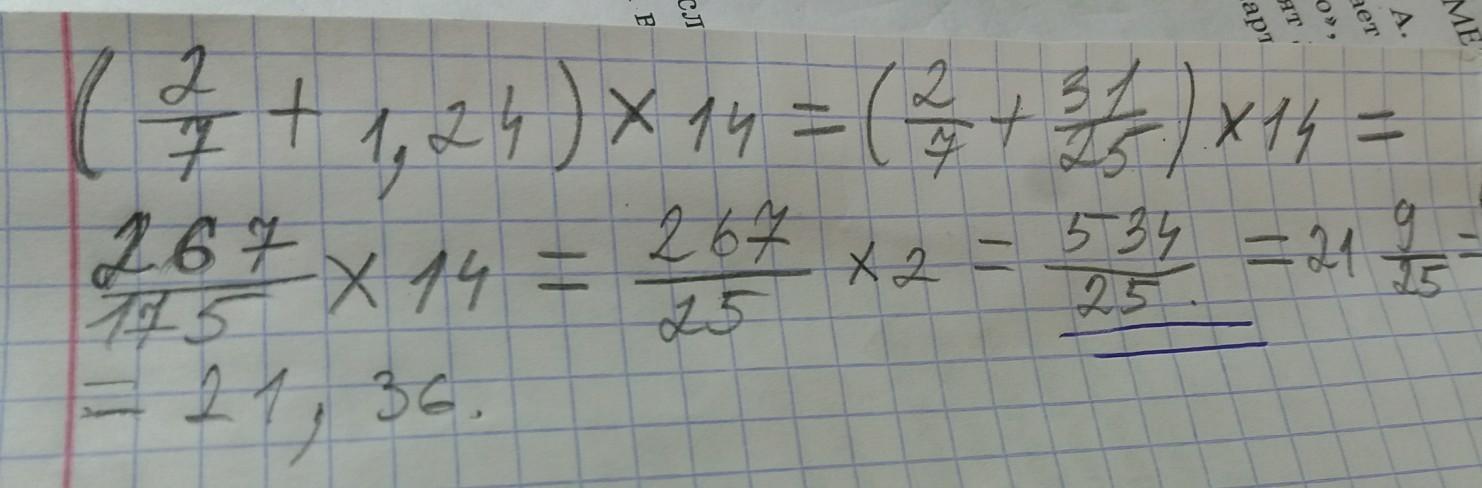
Ответ на фото!
Объяснение:
Удачи тебе!
Приложения:

Вас заинтересует
2 года назад
2 года назад
3 года назад
3 года назад
8 лет назад
9 лет назад