• Предмет: Алгебра
  • Автор: xxxdbdalph
  • Вопрос задан 8 лет назад

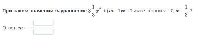
При каком значении m уравнение

+ (m – 1)x = 0 имеет корни x = 0, x =

?

Приложения:

Ответы

Ответ дал: olga7913
2

Ответ:

1/9

Объяснение:

Вас заинтересует