• Предмет: Математика
  • Автор: daraalieva123
  • Вопрос задан 7 лет назад

Помогите пожалуйста я не понила эту тему
Нужно два столбика
Можете не таропиться
Дам сколько смогу баллов

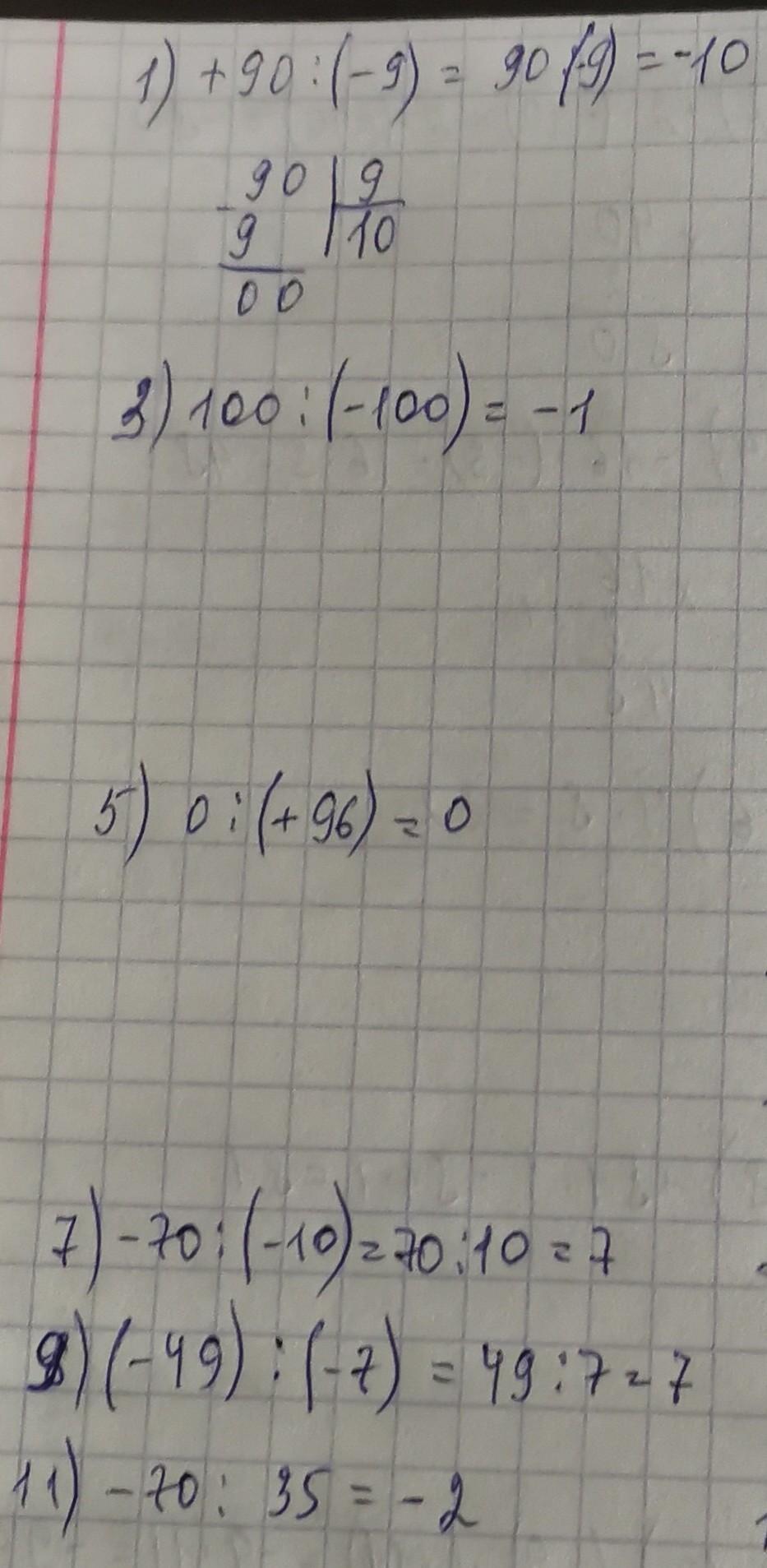
Приложения:

tetamotatetyamotya: Я помогу вам разъяснением.При умножении и делении двух отрицательных чисел,получаем всегда положительное число.При умножении и делении двух чисел с разными знаками(+,-),получаем всегда отрицательное число.

Ответы

Ответ дал: elenamuraweva
1

Ответ:

Решение будет во вложении

Приложения:
Вас заинтересует