• Предмет: Математика
  • Автор: dasha82004
  • Вопрос задан 7 лет назад

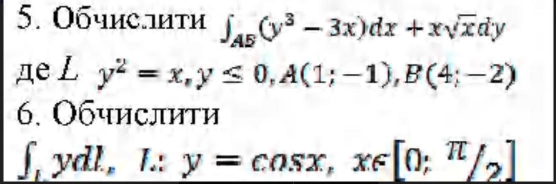
Помогите, пожалуйста)))))
криволинейный интеграл

Приложения:

Ответы

Ответ дал: dimaahremenko54
0

Ответ:

Вот держи ответ ответ на фото

Приложения:
Вас заинтересует