Докажите тождество
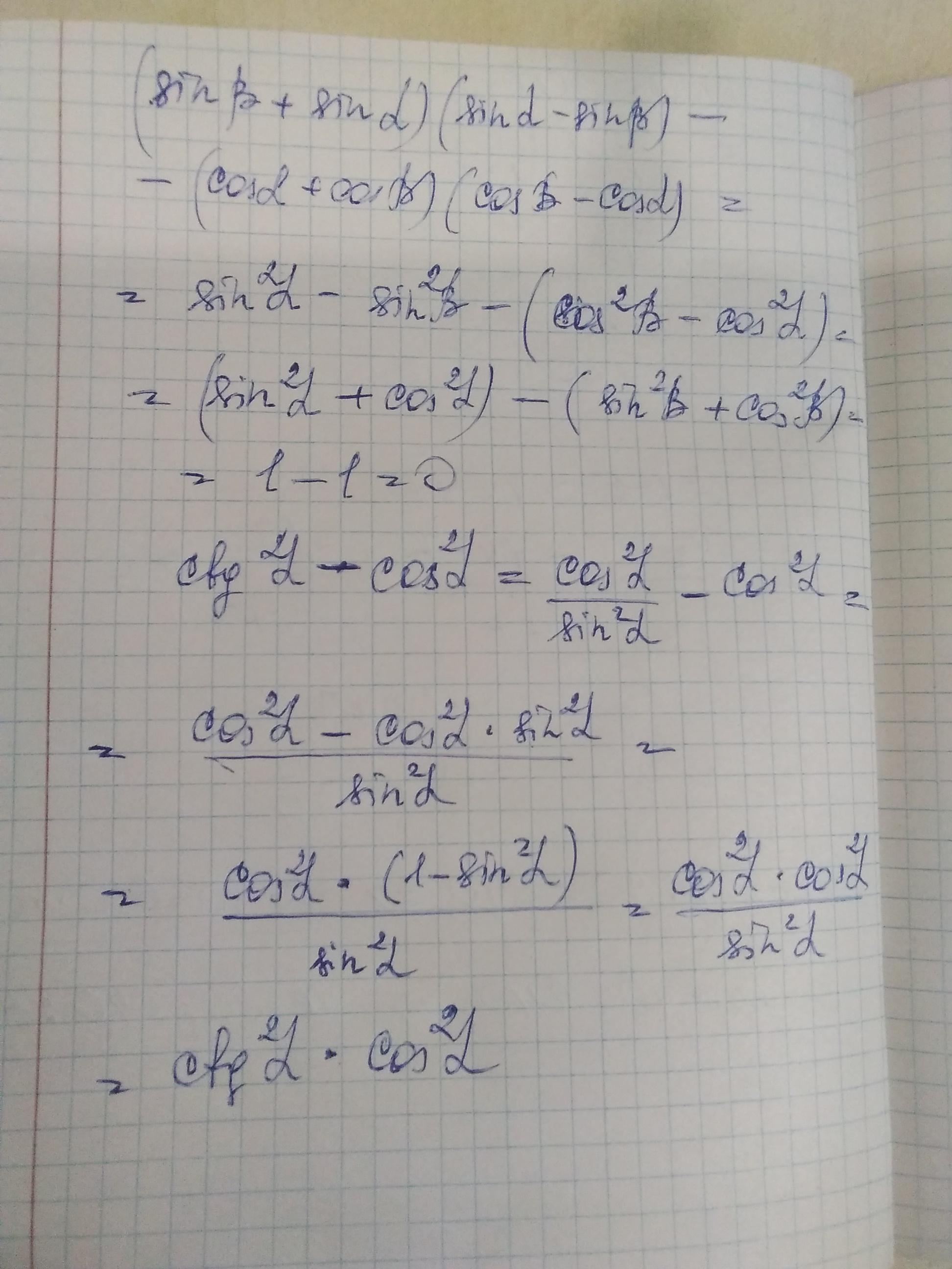
а) (sinB +sinA )(sinA - sinB ) – (cosA +cosB )( cosB - cosA ) = 0
б) ctq^2A - cos^2A = ctq^2A cos^2A
Приложения:

Ответы
Ответ дал:
1
Смотри..............................
Приложения:

Вас заинтересует
2 года назад
2 года назад
3 года назад
3 года назад
8 лет назад