Ответы
Ответ дал:
1
Ответ:
ызкьвлалсвлатвсцьвьазыьпщаьцдызуьп
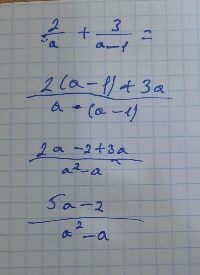
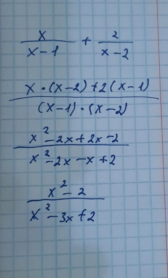
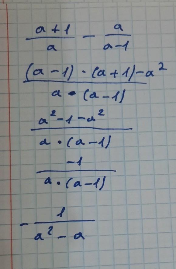
Приложения:





Вас заинтересует
2 года назад
2 года назад
3 года назад
3 года назад
8 лет назад
8 лет назад
9 лет назад