• Предмет: Математика
  • Автор: fyyfuyftuf
  • Вопрос задан 8 лет назад

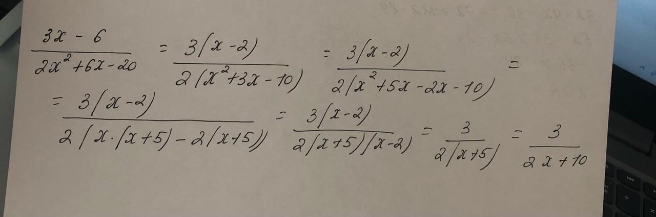
Сократите дробь 3x-6/2x^2+6x-20

Ответы

Ответ дал: Аноним
1

Ответ на фотографии.

Приложения:
Вас заинтересует