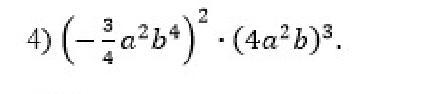
Решите пожалуйста 1 пример (он на фотографии,т.к. в печатном виде сложно его понять)
тема 7-ого класса "Умножение одночленов"
Приложения:

Ответы
Ответ дал:
1
Ответ:
Объяснение:
.........
Приложения:

angelcat938:
спасибо
Вас заинтересует
2 года назад
2 года назад
3 года назад
3 года назад
8 лет назад
8 лет назад
9 лет назад
9 лет назад