ПОМОГИТЕ СРОЧНО!
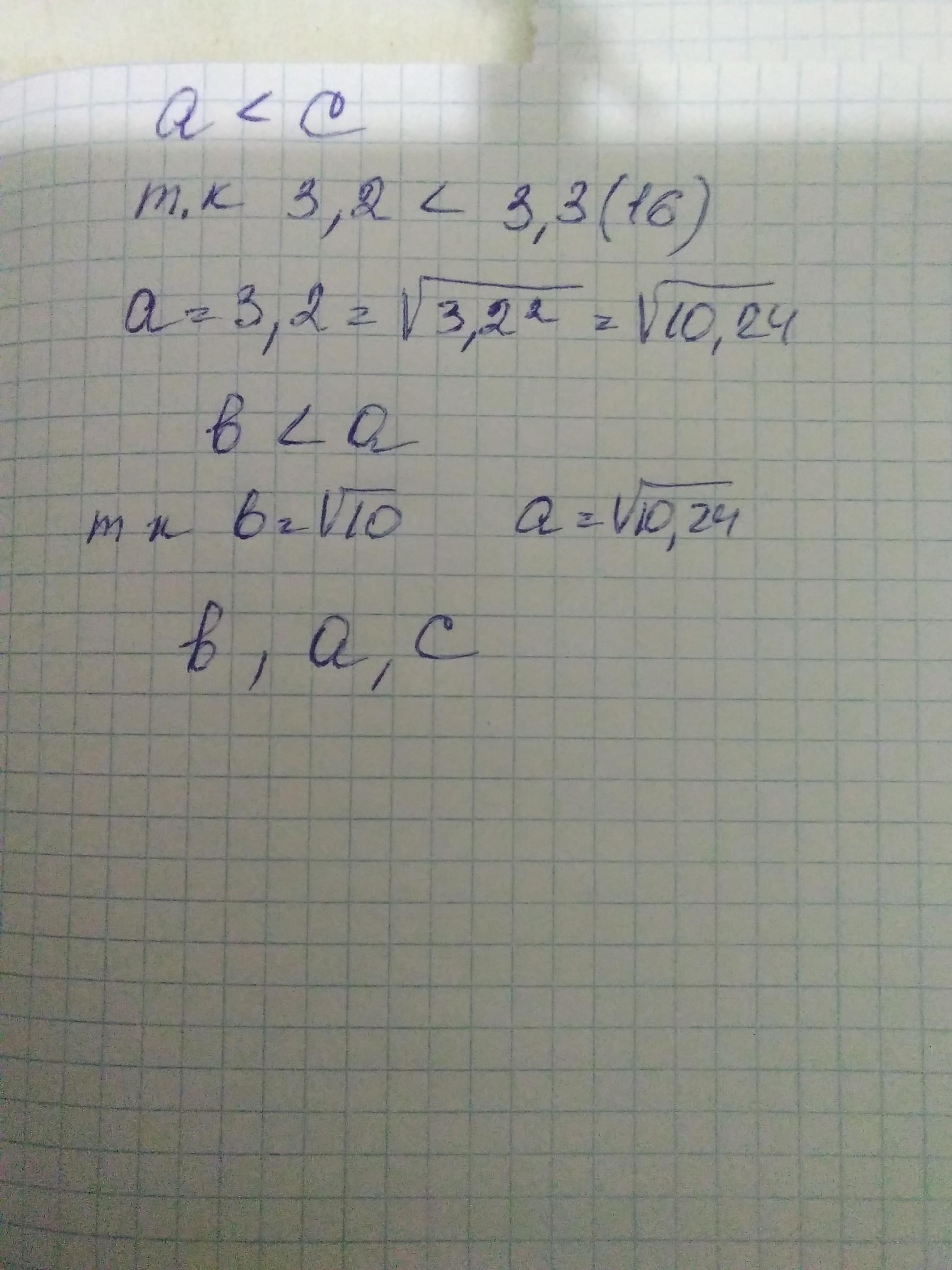
сравните числа a=3,2,b=10,c=3,3(16) расположите в порядке возрастания
Приложения:

Ответы
Ответ дал:
3
Смотри.......................
Приложения:

sergey18110:
СПАСИБО!!!!
Ответ дал:
2
.....................
Приложения:

Вас заинтересует
2 года назад
3 года назад
3 года назад
8 лет назад
9 лет назад
9 лет назад