• Предмет: Математика
  • Автор: viktoriakamaltdinova
  • Вопрос задан 7 лет назад

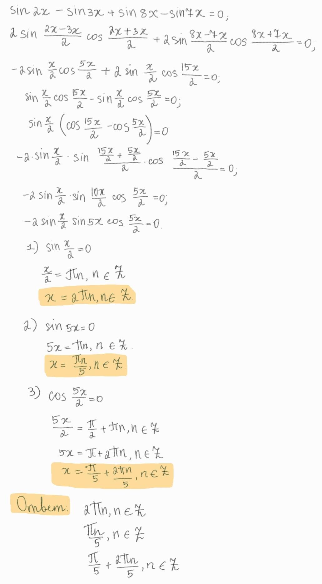
Розв'яжіть рівняння sin 2х - sin 3х + sin 8x - sin 7x = 0.​

Ответы

Ответ дал: Kierra
1

~~~~~~~~~~~~~~~~~~~~

Приложения:
Вас заинтересует