СРОЧНО ПОМОГИТЕ С УРАВНЕНИЯМИ!!!
ДАЮ МАКСИУМ БАЛЛОВ!1
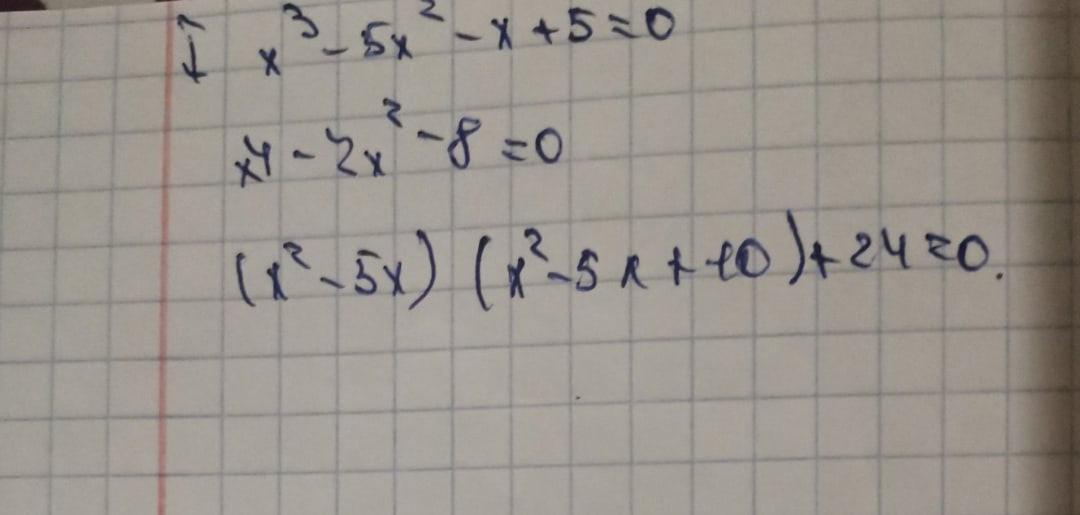
Приложения:

Limon536:
Ето все одно уровнение?
Ответы
Ответ дал:
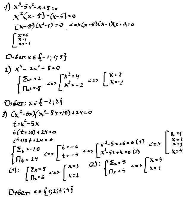
1
Ответ:
Все на скрине
Объяснение:
Приложения:

Вас заинтересует
2 года назад
2 года назад
3 года назад
3 года назад
8 лет назад
8 лет назад
9 лет назад