• Предмет: Алгебра
  • Автор: zhantik562
  • Вопрос задан 7 лет назад

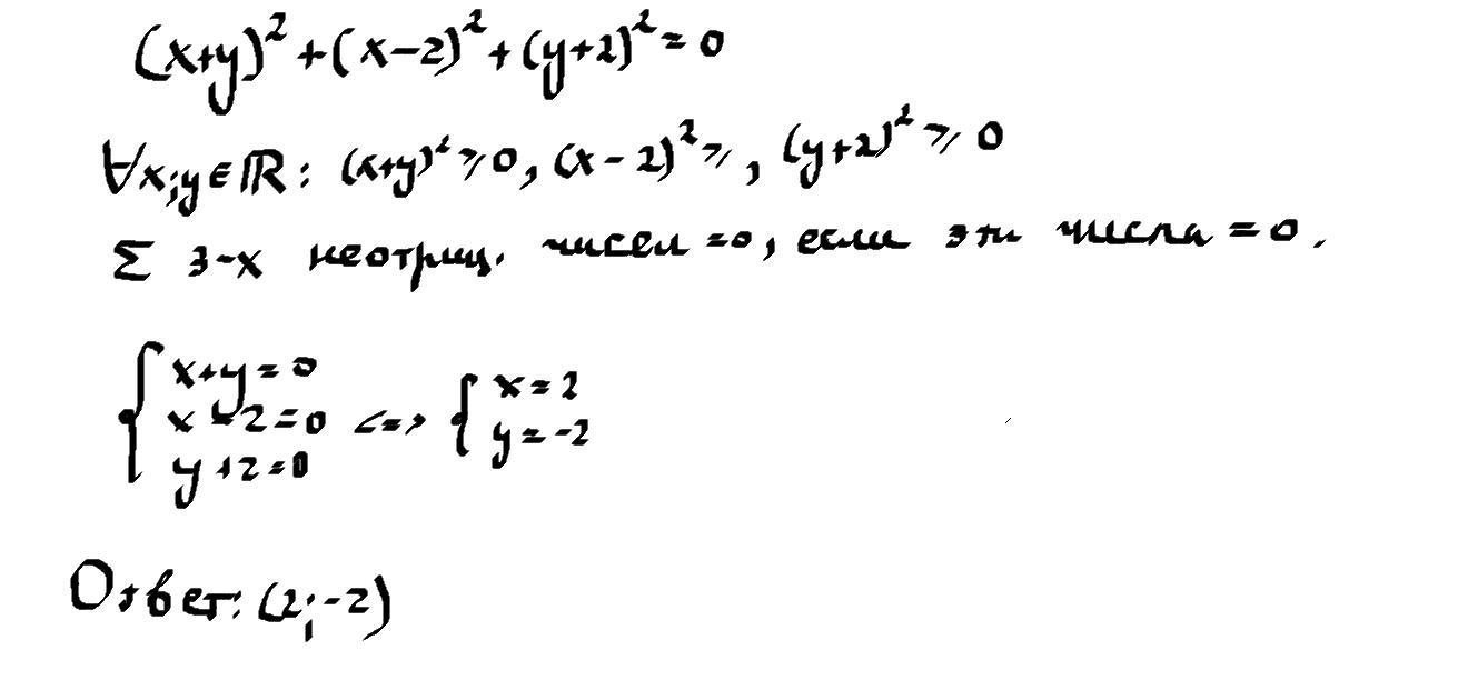
(x + y)^2 + (x – 2)^2 + (y + 2)^2 = 0
Ответ:х=2 у=-2
объясните как вышел ответ.​

Ответы

Ответ дал: m11m
0

Ответ:

Объяснение:

!!!!!!!!!!!!!!!!!!!!

Приложения:

zhantik562: спасибо
Ответ дал: gclonneftor
0

Ответ:

На скрине

Объяснение:

Приложения:

zhantik562: тоже спасибо
Вас заинтересует