• Предмет: Математика
  • Автор: madinabonukhamrakulo
  • Вопрос задан 8 лет назад

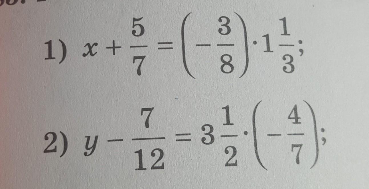
помогите пожалуйста.​

Приложения:

Ответы

Ответ дал: dilyanaakhmetbekova
1

Ответ:

x +  \frac{5}{7}  =  -  \frac{1}{8 }  \\ x =  -  \frac{47}{56}  \\  \\ y -  \frac{7}{12}  =   \frac{7}{2}   \times ( -  \frac{4}{7} ) \\ y -  \frac{7}{12}  =  - 2 \\ y =  -   \frac{17}{12}

Ответ дал: emmavaseiko34
1

Ответ:

Можно пожалуйста лучший ответ

Приложения:
Вас заинтересует