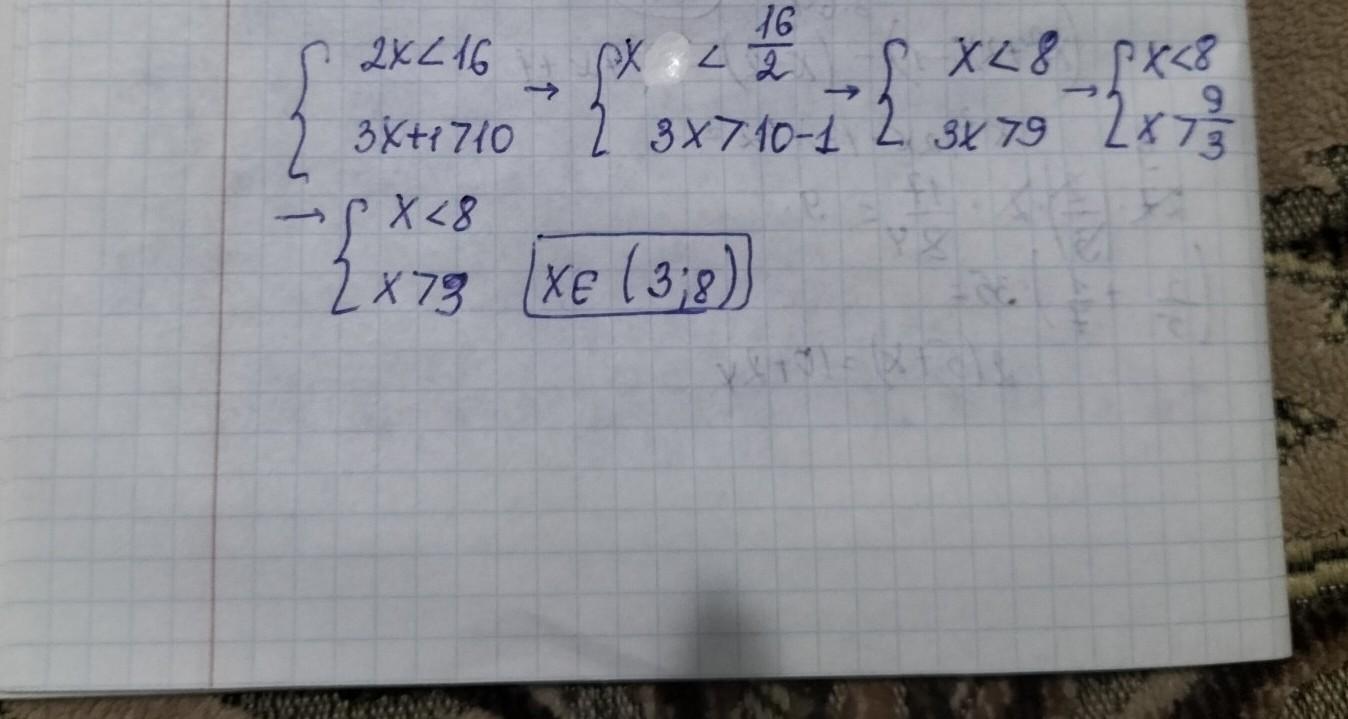
Какое из данных чисел является решением системы неравенств
{2x<16
3x+1>10
Если что это большая {
Ответы
Ответ дал:
2
ответ (3;8)
всё на фото.....
Приложения:

sofaageeva444:
Но там в відповіді: а)6 б)3 в)4 г)3,5
Вас заинтересует
2 года назад
3 года назад
3 года назад
8 лет назад
8 лет назад
9 лет назад