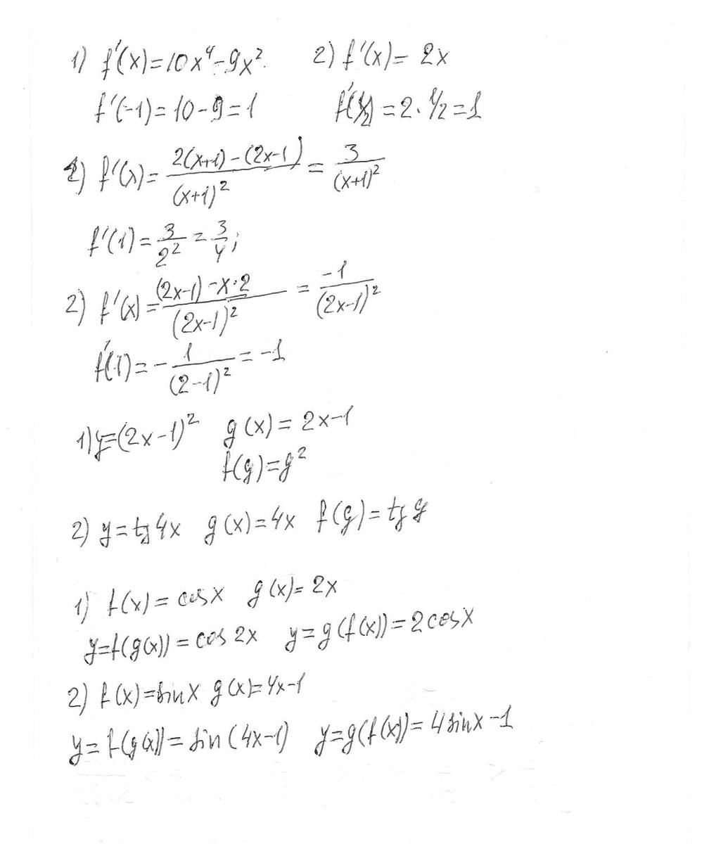
Найдите производную фунукцию f (x) и вычислите её значение в точке x:
1)f(x)= 2x^5- 3x^3+1, x= -1
2)f(x)=(x-3)*(x+3)+9, x=0.5
Вычислите f `(1) если:
1) f(x)= 2x-1/ x+1
2) f(x)= x/ 2x-1
Напишите функцию f(x) и f (g) , состовляющие функцию y= f(g(x))
1) y= (2x-1)^2
2) y= tg 4x
Составьте из функцию f(x) и f (g) , сложные функции y= f(g(x)) и g(f(x))
1) f(x)= cos x, g(x)= 2x
2) f(x)= sin x, g(x) = 4x-1
Ответы
Ответ дал:
0
Решение:
Смотри вложение:....
Смотри вложение:....
Приложения:

Вас заинтересует
2 года назад
8 лет назад
8 лет назад
10 лет назад
10 лет назад
10 лет назад