• Предмет: Математика
  • Автор: petbes245
  • Вопрос задан 8 лет назад

помогите пж умоляю очень надо пж​

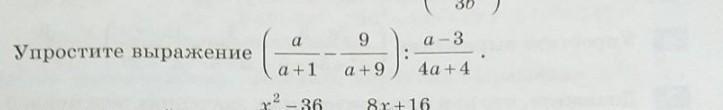
Приложения:

Ответы

Ответ дал: Konstantin101216
1

Пошаговое объяснение:

Сначала решаем в скобках:

а(а+9)/(а+1)(а+9)-9(а+1)/(а+1)(а+9)

(а²+9а-9а-9)/(а²+9а+а+9)

(а²-9)/(а²+10а+9)

а²-9 раскладывается на (а+3)(а-3)

а²+6а+9+4а сворачиваем по формуле до (а+3)²+4а

а+3 сокращаются

Теперь деление, переворачиваем правую дробь и умножаем:

((а-3)/(5а+3))х((4а+4)/(а-3))

а-3 сокращаются

остается (4а+4)/(5а+3)

больше вроде ничего не сокращается

Вас заинтересует