Помогите срочно,пожалуйста.
Установіть вiдповiднiсть мiж виразами (1-4) та їх числовими значення ми (А-Д).
1 )
![2 \sqrt[3]{27} - 5 \sqrt[4]{16} \\ 2 \sqrt[3]{27} - 5 \sqrt[4]{16} \\](https://tex.z-dn.net/?f=2+%5Csqrt%5B3%5D%7B27%7D++-+5+%5Csqrt%5B4%5D%7B16%7D++%5C%5C+)
2)
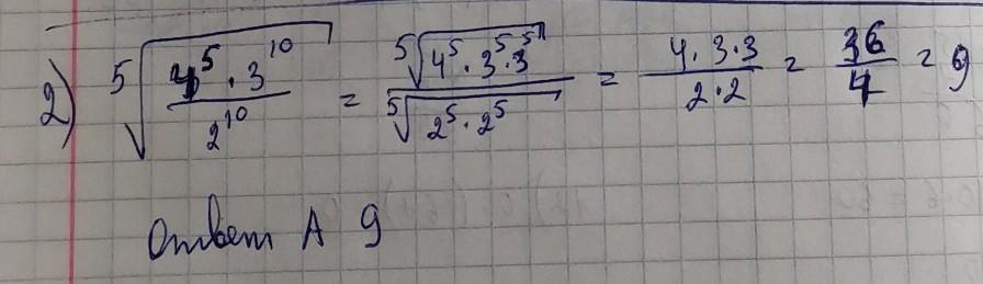
![\sqrt[5]{ \frac{ {4}^{3} \times {3}^{10} }{ {2}^{10} } } \sqrt[5]{ \frac{ {4}^{3} \times {3}^{10} }{ {2}^{10} } }](https://tex.z-dn.net/?f=+%5Csqrt%5B5%5D%7B+%5Cfrac%7B+%7B4%7D%5E%7B3%7D++%5Ctimes++%7B3%7D%5E%7B10%7D+%7D%7B+%7B2%7D%5E%7B10%7D+%7D+%7D+)
3)
![\sqrt[3]{27 \times 0.008} \sqrt[3]{27 \times 0.008}](https://tex.z-dn.net/?f=+%5Csqrt%5B3%5D%7B27++%5Ctimes+0.008%7D+)
4)
![\frac{ \sqrt[3]{432} }{ \sqrt[3]{2} } \frac{ \sqrt[3]{432} }{ \sqrt[3]{2} }](https://tex.z-dn.net/?f=+%5Cfrac%7B+%5Csqrt%5B3%5D%7B432%7D+%7D%7B+%5Csqrt%5B3%5D%7B2%7D+%7D+)
A 9
Б 16
B-4
Г 6
д 0,6
Ответы
Ответ дал:
1
Пошаговое объяснение:
1)
Ответ: В - 4
3)
Ответ: Д 0.6
4)
Ответ: Г 6
2)
Приложения:
sofiaholostenko15:
а 2???
вы все правильно во 2 написали? потому что с ответами не сходиться
посмотрите в моем вопросе ,там есть фото
добавила 2 задание
Вас заинтересует
2 года назад
3 года назад
3 года назад
9 лет назад
9 лет назад
10 лет назад