• Предмет: Алгебра
  • Автор: matkovichbomg
  • Вопрос задан 8 лет назад

Помогите пожалуйста, даю 80 баллов

Приложения:

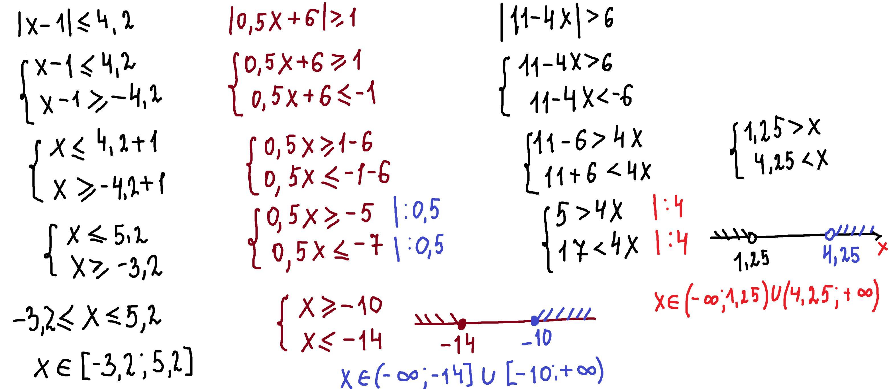
Ответы

Ответ дал: parus77
0

Ответ:

решение неравенств внизу

Объяснение:

Приложения:
Вас заинтересует