• Предмет: Алгебра
  • Автор: besthuman006
  • Вопрос задан 7 лет назад

Помогите пожалуйста, ОЧЕНЬ СРОЧНО!!!

Приложения:

Ответы

Ответ дал: Universalka
1

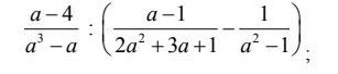
\displaystyle\bf\\\frac{a-4}{a^{3} -a} :\Big(\frac{a-1}{2a^{2} +3a+1} -\frac{1}{a^{2}-1 } \Big)=\frac{a-4}{a^{3} -a} :\Big(\frac{a-1}{2(a+1)(a+0,5)} -\frac{1}{(a-1 )(a+1)} \Big)=\\\\\\=\frac{a-4}{a^{3} -a} :\frac{(a-1)(a-1)-(2a+1)}{(2a+1)(a+1)(a-1)} =\frac{a-4}{a(a+1)(a-1)} \cdot\frac{(2a+1)(a+1)(a-1)}{a^{2} -2a+1-2a-1} =\\\\\\=\frac{(a-4)(2a+1)}{a(a^{2} -4a)} =\frac{(a-4)(2a+1)}{a\cdot a\cdot (a-4)} =\frac{2a+1}{a^{2} }

Вас заинтересует