• Предмет: Математика
  • Автор: crvgefgrreddhhh
  • Вопрос задан 7 лет назад

ПРОШУ ПОЖАЛУЙСТА ПОМОГИТЕ УМОЛЯБ ВАС

Приложения:

Ответы

Ответ дал: Clever46
0

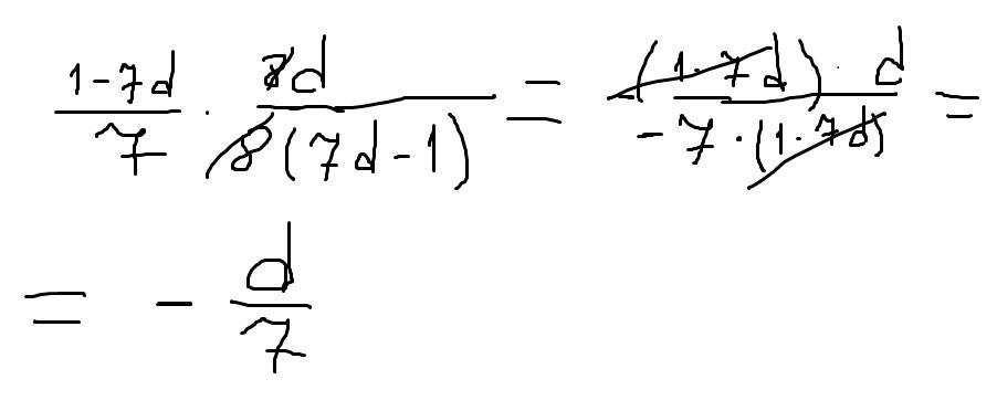
Ответ:

-\frac{d}{7}

Пошаговое объяснение:

Приложения:
Вас заинтересует