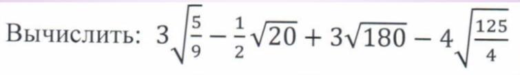
Помогите пожалуйста уже как 2 часа голову ломаю, не могу решить это, заранее Спасибо, даю 25 баллов.
Приложения:

Ответы
Ответ дал:
0
Вроде так, надеюсь понятный почерк
Приложения:

Вас заинтересует
3 года назад
3 года назад
8 лет назад
9 лет назад