• Предмет: Алгебра
  • Автор: jannaslob
  • Вопрос задан 7 лет назад

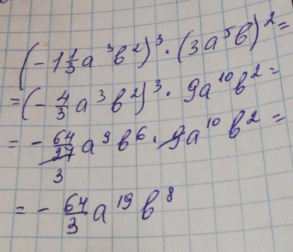
Спростіть вираз: ( -1⅓ ⋅a3b2)3⋅(3a5b)2

Ответы

Ответ дал: larisaserova53
0

Ответ:

Смотри решение на фото..

Приложения:
Вас заинтересует