• Предмет: Математика
  • Автор: GoodTimes4545
  • Вопрос задан 10 лет назад

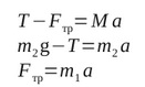
Как из этого выражают a? 

Приложения:

Ответы

Ответ дал: mefody66
0
Во всех случаях нужно разделить левую часть на коэффициент при а.
1) a = (T - F(тр))/M
2 и 3) аналогично
Вас заинтересует