• Предмет: Алгебра
  • Автор: vex1vel
  • Вопрос задан 7 лет назад

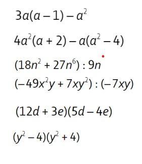
Помогите решить многочлены

Приложения:

Ответы

Ответ дал: ramina20061
0

Надеюсь помогла

3а²-3-а²=2а²-3

4а³+8а²-а³+4а=3а³+8а²+4а можно ещё написать а(а+2)*(3а+2)

2n+3n⁵ можно написать ещё n(2+3n⁴)

7х-1у

12d*5d-12d*4e+3e*5d-3e*4e=60d-48de+15de-12e=60d-33de-12e тут тоже можно ещё написать 3(20d-11de-4e)

у⁴+4у²-4у²-16=у⁴-16

Вас заинтересует