• Предмет: Алгебра
  • Автор: gItrol
  • Вопрос задан 8 лет назад

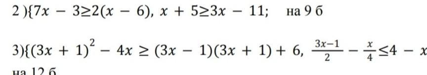
очень срочно. Алгебра 9 класс​

Приложения:

Ответы

Ответ дал: diko30215
0

ответ:95*6743(566:6)=42

Вас заинтересует