Ответы
Ответ дал:
1
Ответ:
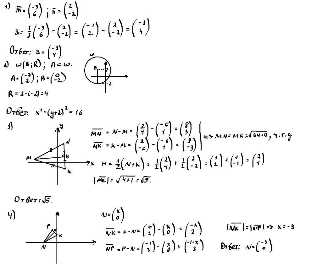
На скрине
Объяснение:
Приложения:

Вас заинтересует
2 года назад
3 года назад
3 года назад
8 лет назад