Ответы
Ответ дал:
0
Ответ:
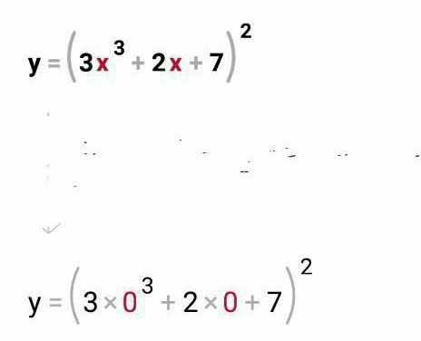
49, если нужно подробное решение могу показать
Приложения:


Вас заинтересует
2 года назад
2 года назад
3 года назад
3 года назад
8 лет назад
8 лет назад
9 лет назад