• Предмет: Алгебра
  • Автор: asfullter
  • Вопрос задан 8 лет назад

Алгебра 9 клас
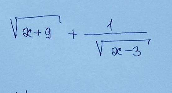
При яких значеннях х,має вигляд у виразі​

Приложения:

Ответы

Ответ дал: kaisar0638
0

Ответ:

пводрылыпьнцлцплцпдцндцн

Приложения:

asfullter: сорри ,чел это через ОДЗ нужно сделать,у тебя не правильно
Вас заинтересует