допоможіть будь ласка треба дуже
Приложения:

yaremasagan:
пж треба дуже
Ответы
Ответ дал:
1
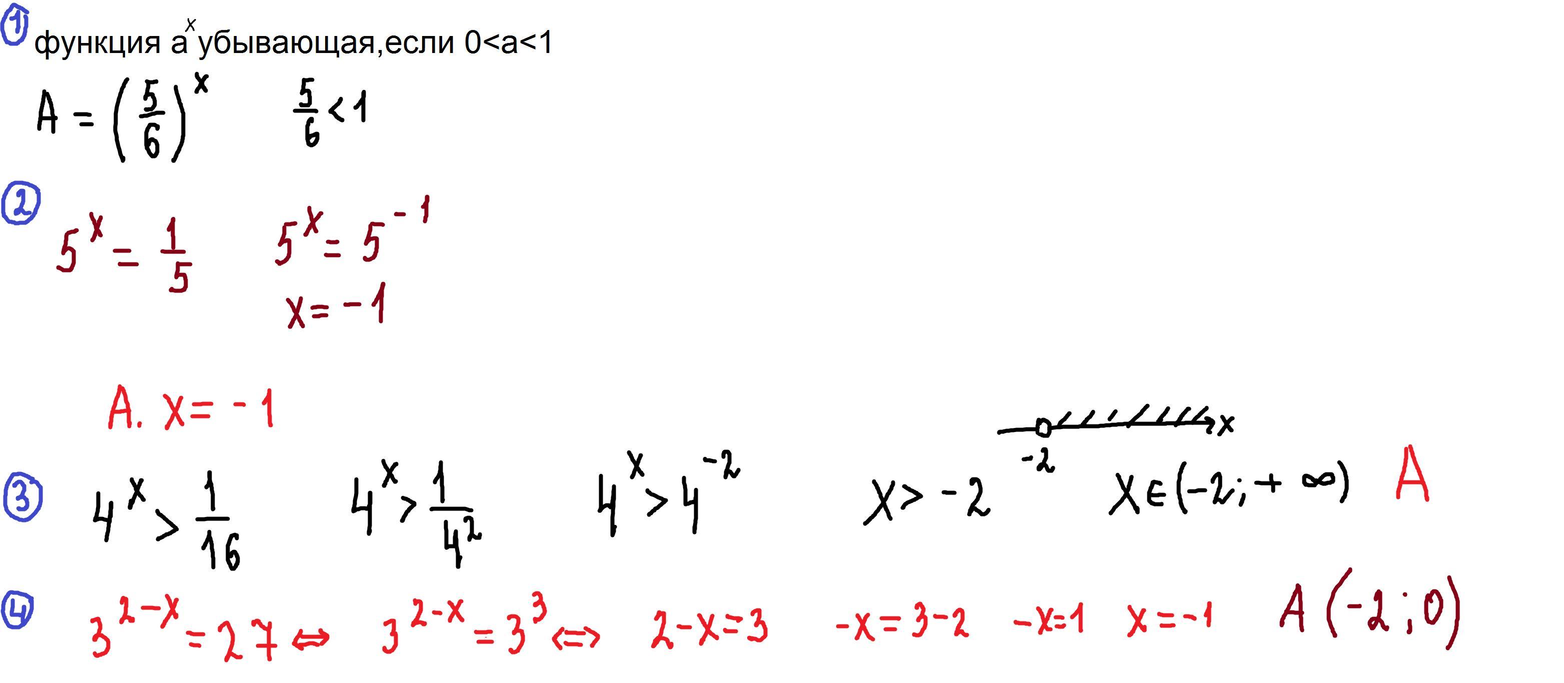
Ответ:
1-А 2-А 3-А 4-А
Пошаговое объяснение:
решение внизу
Приложения:

Вас заинтересует
2 года назад
2 года назад
3 года назад
8 лет назад
9 лет назад