• Предмет: Алгебра
  • Автор: adassuezkazz
  • Вопрос задан 8 лет назад

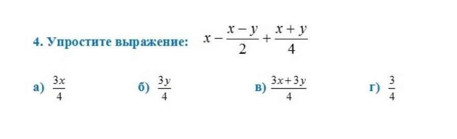
помогите пожалуйста!! срочно​

Приложения:

Ответы

Ответ дал: Аноним
0

x -  \frac{x - y}{2}  +  \frac{x + y}{4}  =  \frac{4x - 2(x - y) + x + y}{4}  =  \frac{4x - 2x + 2y + x + y}{4}  =  \frac{3x + 3y}{4}

Ответ дал: Konstantin101216
0

Ответ:

В

Объяснение:

(4х-2х+2у+х+у)/4=(3х+3у)/4

Вас заинтересует