• Предмет: Математика
  • Автор: fokus12361
  • Вопрос задан 7 лет назад

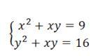
решите систему уравнений

Приложения:

Ответы

Ответ дал: aizotova412
0

Пошаговое объяснение:

Из 3x+2y=-1 => y = -1,5x - 0,5

Подставляем во второе

x^2 -1,5x^2 - 0,5x+4,5x + 1,5=9

-0,5 x^2 + 4 x - 7,5 = 0

x^2 - 8x + 15 = 0

x1,2 = 4 +- sqrt(16-15) = 4+-1

x1 = 5 y1= - 8

x2 = 3 y2= -5

Вас заинтересует