• Предмет: Алгебра
  • Автор: pidlubnaolesa008
  • Вопрос задан 7 лет назад

Допоможіть будь ласка​

Приложения:

Ответы

Ответ дал: gudzmasha07
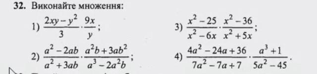
1

Ответ:

Объяснение:

однакові множники ми скорочуємо, а все можливе виносимо і розкладаємо на формули

1) \frac{2xy-y^{2} }{3}*\frac{9x}{y}=\frac{y(2x-y)*9x}{3y}=3x(2x-y) або 6x^{2}-3xy

2)\frac{a^{2} -2ab}{a^{2}+3ab }*\frac{a^{2} b+3ab^{2} }{a^{3}-2a^{2} b }=\frac{a(a-2b)*ab(a+3b)}{a(a+3b)*a^{2}(a-2b) }=\frac{a^{2}b }{a^{3} }=\frac{b}{a}

3)\frac{x^{2} -25}{x^{2} -6x}*\frac{x^{2} -36}{x^{2} +5x}=\frac{(x-5)(x+5)(x-6)(x+6)}{x(x-6)*x(x+5)}=\frac{(x-5)(x+6)}{x^{2} } або \frac{x^{2} -11x+30}{x^{2} }

4)\frac{4a^{2} -24a+36}{7a^{2}-7a+7 }*\frac{a^{3} +1}{5a^{2}-45 }=\frac{4(a-3)^{2}*(a+1)(a^{2} -a+1) }{7(a^{2}-a+1)*5(a-3)(a+3) }=\frac{4(a+1)(a-3)}{35(a+3)}

Вас заинтересует