• Предмет: Математика
  • Автор: suhpa
  • Вопрос задан 7 лет назад

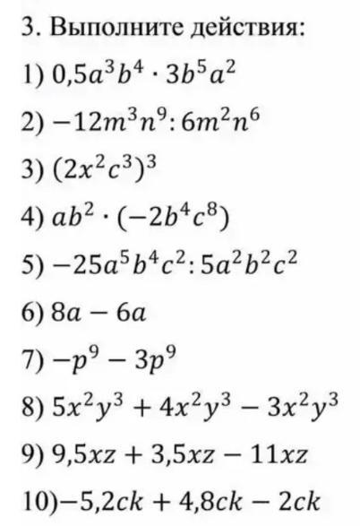
Помогите, пожалуйста, мне сдать до завтра хотя бы

Приложения:

Ответы

Ответ дал: naraazizova13
1

Ответ:

Пошаговое объяснение:

Приложения:
Вас заинтересует