• Предмет: Математика
  • Автор: Pablo20050
  • Вопрос задан 8 лет назад

Найти область определения функции f(x)=log8(4-5x)
а) (0;5) б) (0, 8;+∞) в) (-4;0,5) г) (-∞;0,8)

Ответы

Ответ дал: ruzanaahmetova1
2

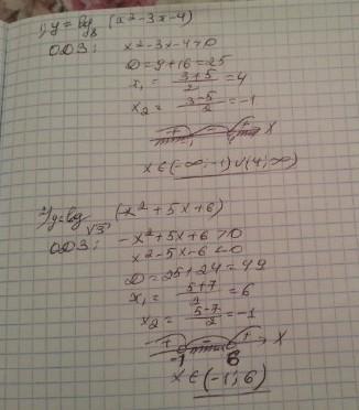
Ответ:

надеюсь ты поймёшь мой почерк: ")

Приложения:

Pablo20050: Спасибо
ruzanaahmetova1: пожалуйста
Вас заинтересует