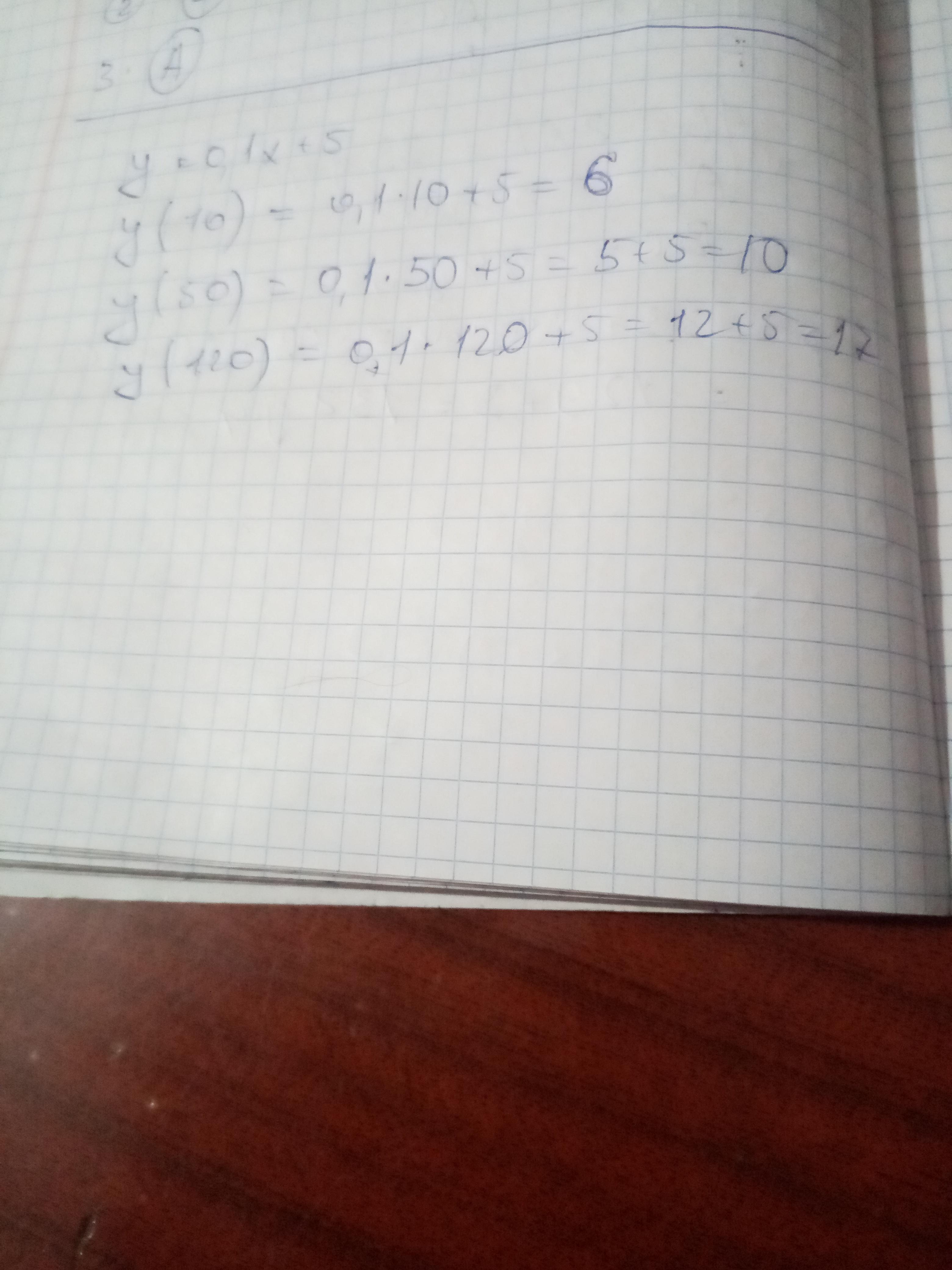
Функция задана формулой y = 0,1х + 5. Для значения аргумен- у та, равного 10; 50; 120, найдите соответствующее значение функции.
Ответы
Ответ дал:
1
Ответ:
Объяснение:при умножении0. 1 *10 зачеркиваем ноль и запятую, перемножаем числа
Приложения:
Вас заинтересует
2 года назад
2 года назад
3 года назад
3 года назад
9 лет назад
9 лет назад
10 лет назад
10 лет назад