• Предмет: Алгебра
  • Автор: varvaramat3638
  • Вопрос задан 7 лет назад

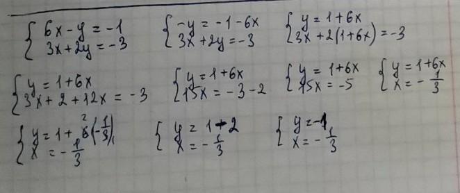
помогите решить !!! \left \{ {3(x+y)=39} \atop {x+3=y}} \right. \left \{ {{6x-y=-1} \atop {3x+2y=-3}} \right.


varvaramat3638: способом алгебраического сложения

Ответы

Ответ дал: Universalka
8

\displaystyle\bf\\1)\\\\\left \{ {{3(x+y)=39} \atop {x+3=y}} \right. \\\\\\+\left \{ {{x+y=13} \atop {x-y=-3}} \right. \\--------\\2x=10\\\\x=5\\\\y=x+3=5+3=8\\\\Otvet:(5 \ ; \ 8)\\\\\\2)\\\\\left \{ {{6x-y=-1}| \ \cdot 2 \atop {3x+2y=-3}} \right. \\\\\\\left \{ {{12x-2y=-2} \atop {3x+2y=-3}} \right. \\---------\\15x=-5\\\\x=-\frac{1}{3} \\\\y=6x+1=6\cdot\Big(-\frac{1}{3} \Big)+1=-2+1=-1\\\\Otvet:\Big(-\frac{1}{3}  \ ; \ -1\Big)

Ответ дал: elenamuraweva
4

Объяснение:

Решение будет во вложении

Приложения:

LevZHEN: почерк топ
koltykshash715: ибат это в каком классе
Universalka: Просьба была решить системы способом сложения
bekensaparov1: да почерк норм
Вас заинтересует