• Предмет: Алгебра
  • Автор: MichaelL666
  • Вопрос задан 8 лет назад

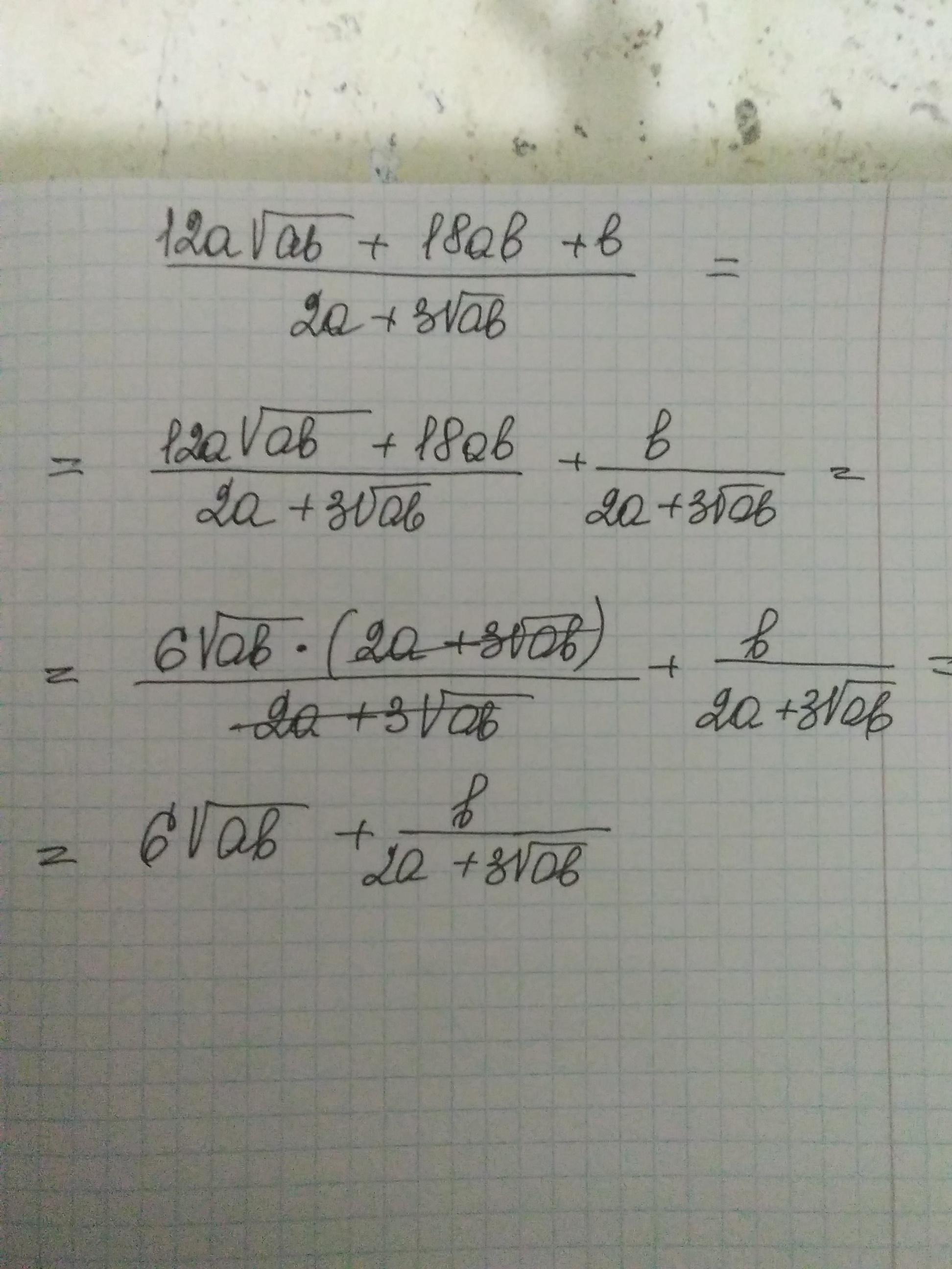
 \frac{12a \sqrt{ab} + 18ab + b}{2a + 3 \sqrt{ab} }
Решите пожалуйста ​

Приложения:

MizoriesKun: Фото есть?
MizoriesKun: Вот последняя b тут явно лишняя

Ответы

Ответ дал: MizoriesKun
1

Смотри....................

Приложения:

MizoriesKun: Больше никак
Аноним: помогите пожалуйста
Вас заинтересует