Ответы
Ответ дал:
1
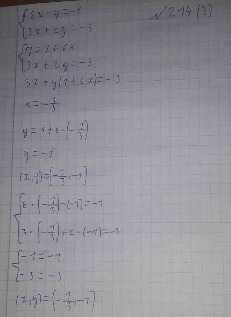
Номир: 214 (3)
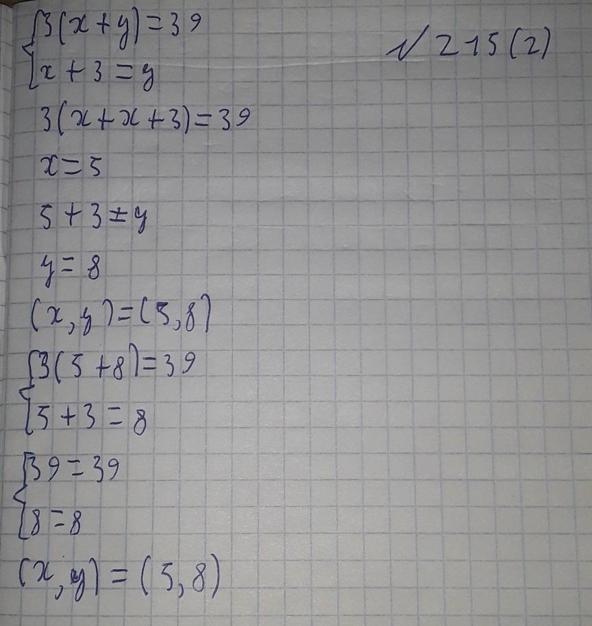
Номир: 215 (2)
Приложения:


Вас заинтересует
2 года назад
3 года назад
3 года назад
8 лет назад
9 лет назад