• Предмет: Математика
  • Автор: marusianot
  • Вопрос задан 7 лет назад

помогите пожалуйста, напишите полный ответ ​

Приложения:

Ответы

Ответ дал: sabirzelena
0

Ответ:

Пошаговое объяснение:

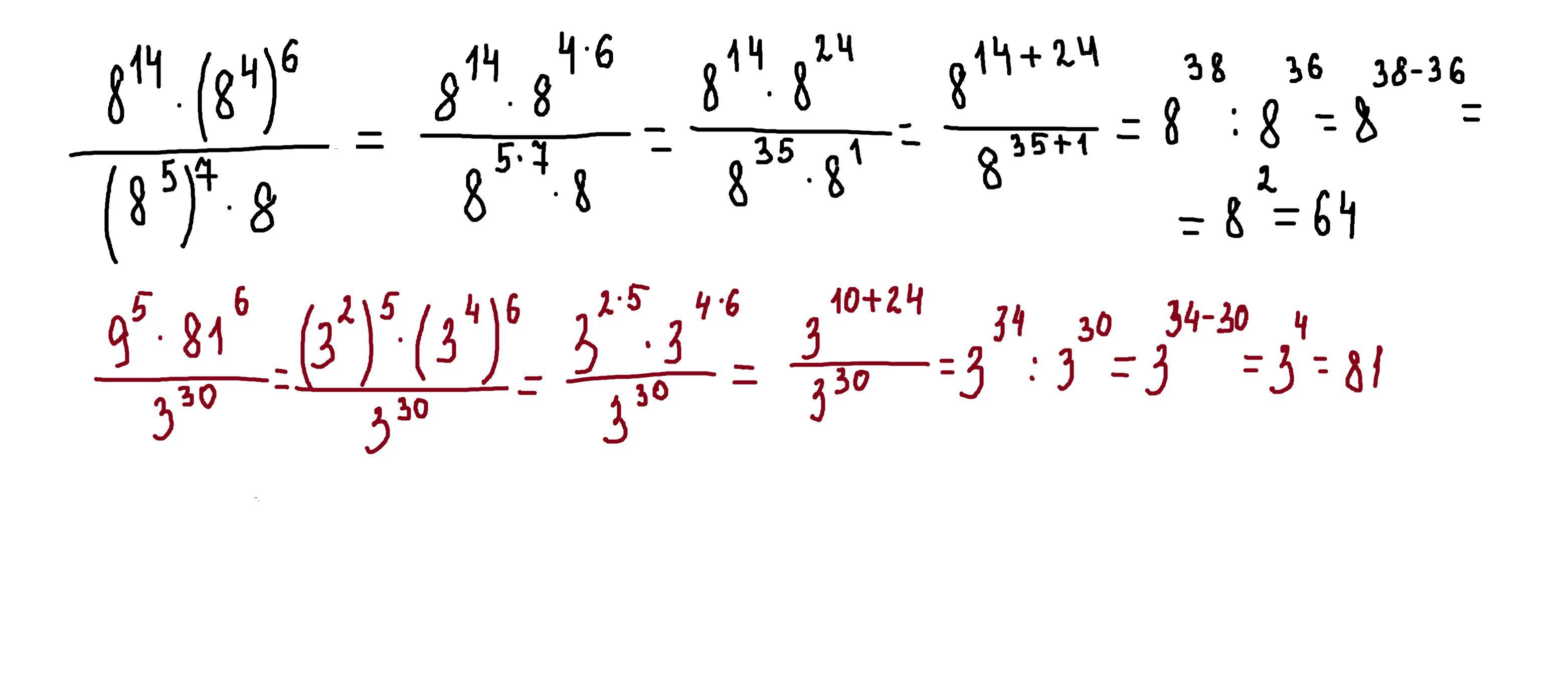
5)

8¹⁴⁺²⁴⁻³⁵⁻¹=8²=64.

6)

(3²)⁵*(3⁴)⁶3⁻³⁰=3¹⁰⁺²⁴⁻³⁰=3⁴=81.

Ответ дал: parus77
0

Ответ:

5)64 6)81

Пошаговое объяснение:

решение внизу

Приложения:
Вас заинтересует