• Предмет: Алгебра
  • Автор: lisssk924
  • Вопрос задан 7 лет назад

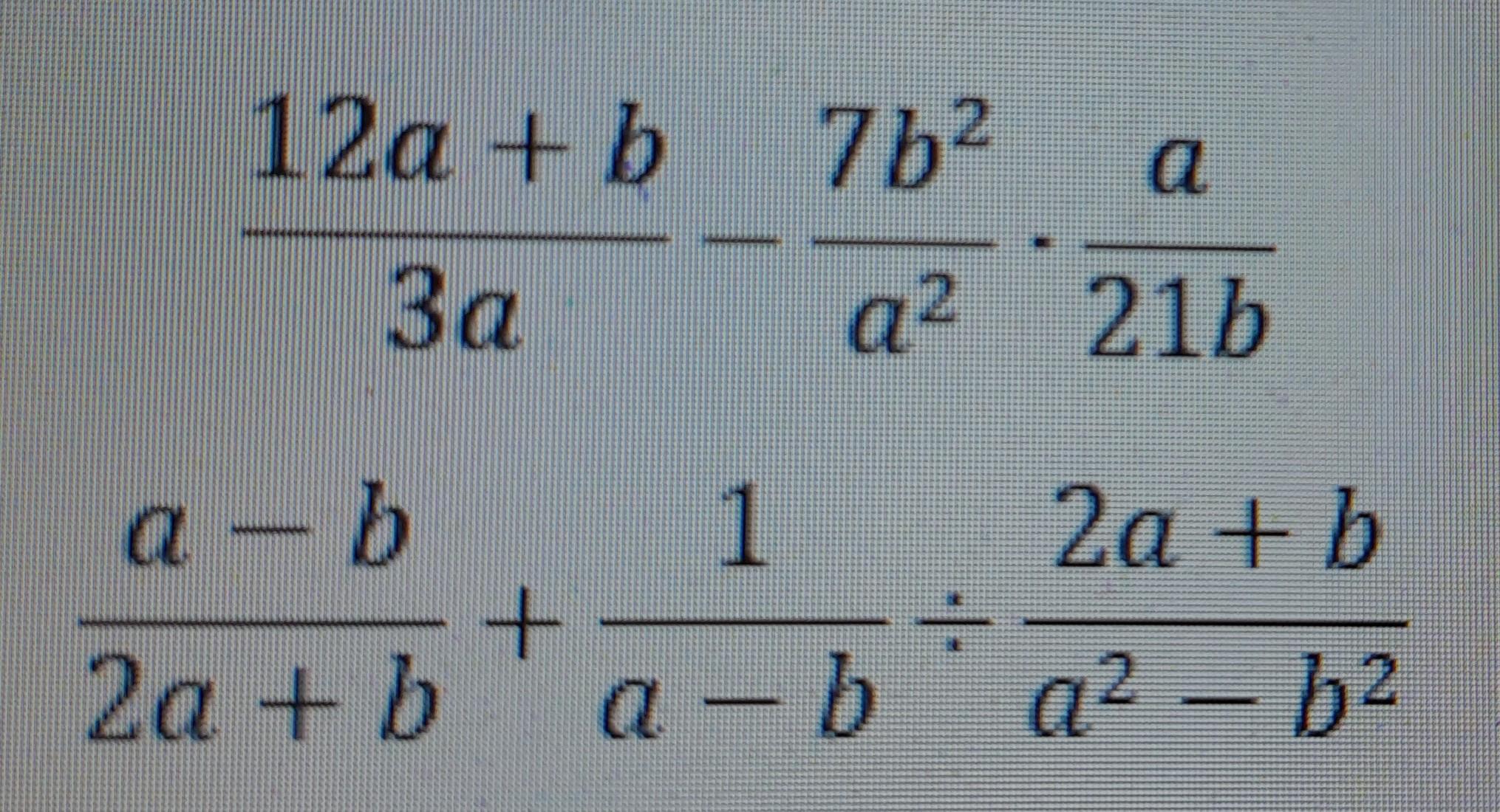
Выполнить действия. СРОЧНО !!!!!
дою 50 баллов ​

Приложения:

Ответы

Ответ дал: Аноним
2

Объяснение:

 \frac{12a + b}{3a}  -  \frac{7b {}^{2} }{a {}^{2} }  \times  \frac{a}{21b}  =\frac{12a+b}{3a}-\frac{7b^{2}a}{a^{2}\times 21b} =\frac{12a+b}{3a}-\frac{b}{3a} =\frac{12a+b-b}{3a} =\frac{12a}{3a} =4

 \frac{a - b}{2a + b}  +  \frac{1}{a - b}  \div  \frac{2a + b}{a {}^{2}  - b {}^{2} }  =\frac{a-b}{2a+b}+\frac{a^{2}-b^{2}}{\left(a-b\right)\left(2a+b\right)} =\frac{a-b}{2a+b}+\frac{\left(a+b\right)\left(a-b\right)}{\left(a-b\right)\left(2a+b\right)} =\frac{a-b}{2a+b}+\frac{a+b}{2a+b} =\frac{a-b+a+b}{2a+b} =\frac{2a}{2a+b}

Вас заинтересует