• Предмет: Математика
  • Автор: levenecelizabeta
  • Вопрос задан 8 лет назад

Даю максимум баллов ​

Приложения:

Ответы

Ответ дал: EtherNet1873
1

Пошаговое объяснение:

За точну відповідь не ручаюсь, тому що деколи можу бути не уважним

Приложения:
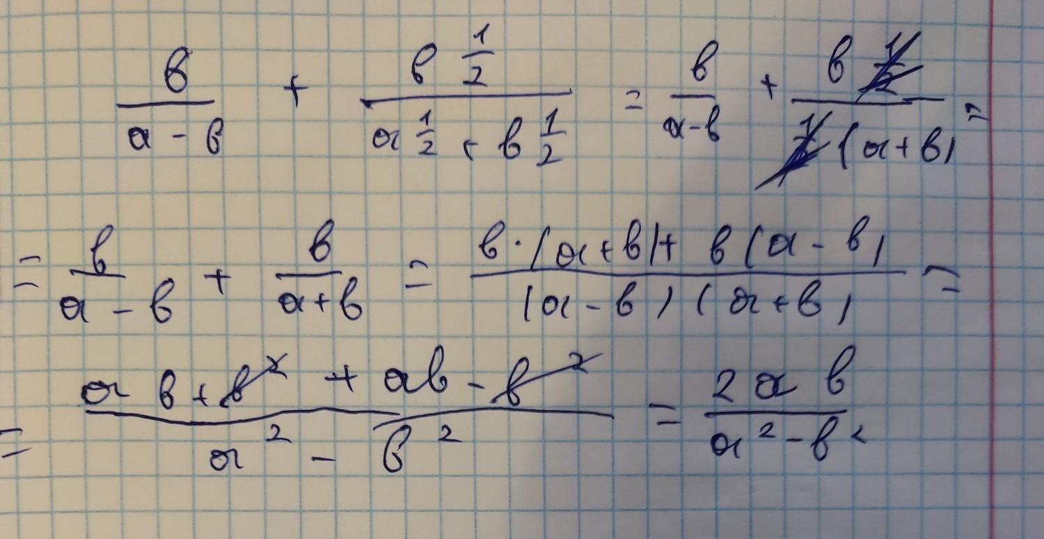
Ответ дал: NAKAT127
1

 \frac{6}{a - 6}  +  \frac{b \times  \frac{1}{2} }{ \frac{1}{2}(a + b) }  =  \frac{6}{a - 6}  +  \frac{b}{a + b}  =  \frac{6a + 6b + ab - 6b}{ {a}^{2}  + ab - 6a - 6b}  =  \frac{6a + ab}{ {a}^{2} + ab - 6a - 6b }

Вас заинтересует