Ответы
Ответ дал:
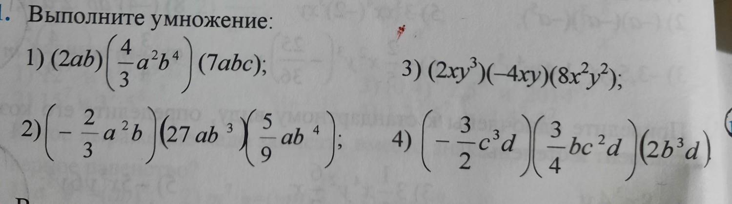
1
Ответ:
Пошаговое объяснение:
При умножении степени складываются у одинаковых неизвестных
Приложения:


avaumnik:
спасибо!!!
Вас заинтересует
2 года назад
2 года назад
3 года назад
3 года назад
8 лет назад
8 лет назад
9 лет назад
9 лет назад