• Предмет: Алгебра
  • Автор: slazy16
  • Вопрос задан 7 лет назад

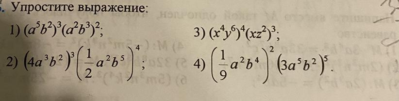
если что там в середине между примерами нет умножения надо упростить

Приложения:

Ответы

Ответ дал: Broshenuy
0

Ответ:

1)a¹⁹b¹²

2)4a¹⁷b²⁶

3)x¹⁹y²⁴x³z⁶

4)3a²⁹b¹⁸

Объяснение:

1)

(a⁵b²)*(a²b³)²

Использовать свойства степеней:

a¹⁵b⁶*a⁴b⁶

Вычисляем произведение:

a¹⁹b¹²

2)

(4a³b²)*(\frac{1}{2}a²b⁵)⁴

Использовать свойства степеней:

64a⁹b⁶*\frac{1}{16}a⁸b²⁰

Сокращаем числа на наибольший общий делитель 16 (64 и 16):

4a⁹b⁶a⁸b²⁰

Вычисляем произведение:

4a¹⁷b²⁶

3)

(x⁴y⁶)(xz²)³

Использовать свойства степеней:

x¹⁶y²⁴x³z⁶

Вычисляем произведение:

x¹⁹y²⁴z⁶

4)

(\frac{1}{9}a²b⁴)²(3a⁵b²)⁵

Использовать свойства степеней:

\frac{1}{81}a⁴b⁸*243a²⁵b¹⁰

Сокращаем числа на наибольший общий делитель 81 (81 и 243):

a⁴b⁸*3a²⁵b¹⁰

Вычисляем произведение:

3a²⁹b¹⁸

Надеюсь помог

:)

Вас заинтересует