Ответы
Ответ дал:
0
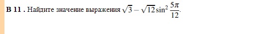
корень из 3 - корень из 12 * ((1-cos10pi/2)/2),
корень из 3 - корень из 12 * ((1-cos 5pi/6)/корень из 4),
корень из 3 * (1-1+(корень из 3)/2),
и равно 3/2
корень из 3 - корень из 12 * ((1-cos 5pi/6)/корень из 4),
корень из 3 * (1-1+(корень из 3)/2),
и равно 3/2
Вас заинтересует
3 года назад
8 лет назад
8 лет назад
11 лет назад
11 лет назад