• Предмет: Алгебра
  • Автор: alinareshetnikova200
  • Вопрос задан 7 лет назад

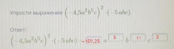
Помогите пожалуйста умоляю помогите пожалуйста умоляю помогите пожалуйста умоляю помогите пожалуйста умоляю помогите пожалуйста умоляю ​

Приложения:

Ответы

Ответ дал: solovevfedor245
0

Отметьте пожалуйста лучшим решением и поставьте сердечко

Приложения:
Вас заинтересует